Thr dan bonus sebenarnya perlakuannya sama yaitu tambahan penghasilan yang tidak rutin. Dulu saya juga pernah ngepost topik yang sama disini sekarang contoh simulasi berbeda akan saya kutipkan untuk jadi tambahan wawasan bersama.
Contoh Surat Pensiun Dini Fill Online Printable Fillable Blank
Peraturan di indonesia mengenai plagiarisma.
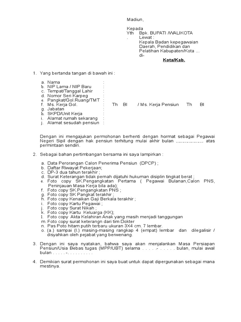
Contoh surat permohonan pensiun pns. Selamat siang pakibu admin saya pensiunan pns yang telah memiliki npwp dan isteri saya juga sebagai pns masih aktif juga mempunyai npwp yang mau saya tanyakan adalah bagaimana melaporkan sppt pribadi tahunan apakah harus digabung atau masing masing membuat sppt atau dapat digabung. Sebelumnya saya sampaikan terima kasih atas tanggapannya. Mohon beritahukan kepada kami jika ada link download file yang tidak aktif atau tidak ditemukan not found url untuk untuk secepatnya kami lakukan perbaikan.
Perpajakan edisi revisi 2011 siti resmi. Berkas file software aplikasi bk bimbingan konseling gratis pada link di atas yang bisa anda download ini disimpan di cloud storage google drive. Kumpulan judul contoh tesis administrasi.
Pajak penghasilan pasal 21pph 21 oleh kelompok 5 referensi buku mardiasmo. Uu 19 tahun 2002. Mutasi keluar mutasi ke pemerintah kota kabupaten lain persyaratan yang harus dipenuhi.
Kuesioner dalam istilah lain disebut angket. Uu 20 tahun 2003. Tadabbur al fath 1 4.
Dalam tatanan masyarakat demokratis pelayanan publik merupakan fungsi dari tanda kehadiran negara yang secara strategis terwujud dalam instrumen kebijakan regulasi fiskal anggaran. Surat edaran dirjen 190dt2011. Sistem pendidikan nasional penjelasannya pada pasal 25 ayat 2 serta pasal 70.
Bagi anda yang kesulitan mendownload dari youtube anda bisa mendownload surat al fath 1 4 berikut tadabbur pada mp3 berikut dibawah ini. Perpajakan teori dan kasus edisi 6 buku 1 pokok bahasan teori perhitungan bagian 1teori terminologi pemotong pajak pph 21 wajib pajak 21 tidak termasuk wajib pajak pph 21 objek pph 21 penghasilan pph 21 yang dikecualikan biaya jabatan dan biaya pensiun tarif pajak. Kebetulan saya orang akuntansi dan tahu ada ortax terkait retribusi dll ada di sana dari ortax ada ada keputusan menteri keuangan nomor 72kmk011996 tanggal 13 feb 1996 tentang besarnya pemotongan tkpkn di lingkungan departemen keuangan yang terlambat masuk dan tidak masuk kerja.
Permendiknas 17 tahun 2010. Validasi karya ilmiah bagi calon pengusul jfd lektor kepala dan guru besar beserta format. Pencegahan dan penanggulangan plagiat di perguruan tinggi.
Pergeseran paradigma administrasi ternyata telah ikut andil dalam perkembangan paradigma global terkait aspek pelayanan yang dikenal dengan paradigma sektor publik. Selamat siang pengunjung sekalian mumpung lebaran masih jauh saya postingkan kembali tentang tata cara menghitung pph 21 atas thr. Hay sobat sharing kali ini saya akan berbagi contoh kuesioner penelitian di kampus maupun di lapangan survey pasar.
Pimpinan instansi tidak boleh didelegasikan kepada pejabat struktural dibawahnya membuat surat penyataan persetujuan pindah secara tertulis bagi pegawai negeri sipil dilingkungannya yang mengajukan pindah kepada pejabat pembina kepegawaian pemerintah daerah kota dengan.
Surat Permohonan Pensiun Pns Syarat Usul Pensiun Info Di Sekitar
Cara Pengajuan Permohonan Pensiun Anita S Personal Blog
Surat Usulan Pensiun Pns Usia Penuh Guru Loyal
Surat Edaran Kepala Bkn Tentang Batas Usia Pensiun
Surat Keterangan Untuk Mendapatkan Tunjangan Keluarga Pns
Contoh Surat Pernyataan Bukan Pensiunan Pns Bumn
Surat Permohonan Data Ke Semua Opd Perihal Penyusunan Kebutuhan Asn
Contoh Surat Pernyataan Pensiun Atas Permintaan Sendiri Info
Contoh Surat Pengunduran Diri Pns Yang Baik Dan Benar Detiklife
Pemberitahuan Tentang Contoh Surat Palsu Pengadaan Pns Tahun
Surat Keterangan Pensiun Usia 60
Surat Edaran Badan Kepegawaian Dan Diklat Kota Batam
Contoh Surat Lamaran Penerimaan Cpns Kota Batam Tahun 2009 Badan
Bkd Kabupaten Sorong Formulir Blanko Permintaan Pembayaran
10 Contoh Surat Permohonan Dana Sponsor Kerjasama Dll
Surat Edaran Kepala Bkn Tentang Batas Usia Pensiun
10 Contoh Surat Permohonan Mutasi Kerja Pns Karyawan Swasta Maupun
Pensiun Dini Pns Menurut Uu Asn Wikipns
Contoh Surat Permohonan Kenaikan Gaji Berkala Ke Bupati Guru Loyal
Contoh Surat Permohonan Pensiun Dini Pns
Surat Edaran Perihal Usul Pemberhentian Pns Dengan Hak Pensiun
Info Pns Persyaratan Pensiun Pns Tahun 2018
Pengalaman Pengajuan Pensiun Pns Anita S Personal Blog
Pengertian Mekanisme Dan Sop Skpp Surat Keterangan Penghentian
Contoh Slip Gaji Orang Tua Our Families Journey
Pdf Prosedur Pembayaran Program Pensiun Studi Kasus Pada Pt
Contoh Surat Keterangan Penghentian Pembayaran Gaji Untuk Pns
Contoh Surat Permohonan Pensiun Pns Guru
Q Foto Kopiakte Kelahiran Anak Dilegalisi
Contoh Surat Keterangan Penghasilan Karyawan Perusahaan
Pengalaman Pengajuan Pensiun Pns Anita S Personal Blog
15 Contoh Surat Pengunduran Diri Atau Resign Format Cara Membuat
Contoh Surat Permohonan Bantuan Dana Beasiswa Dan Sponsorship
17 Contoh Surat Rekomendasi Baik Benar Dan Yang Disarankan
31 Contoh Surat Pengunduran Diri Surat Resign Kerja Dengan Alasan
Pensiun Pegawai Dan Pensiun Janda Duda Pegawai Ppt Download
Doc Contoh Surat Permohonan Kenaikan Gaji Yang Bagus Gusrini
Surat Undangan Pengambilan Sumpah Pns
17 Contoh Surat Rekomendasi Baik Benar Dan Yang Disarankan
Blanko Permohonan Pensiun Youtube
Download Contoh Surat Pengantar Dari Kepala Sekolah Untuk Berbagai
Form Surat Permohonan Tunjangan Anak
Format Surat Lamaran Dan Pernyataan Cpns Gowa 2018 Bkpsdm Gowa
Contoh Surat Permohonan Pensiun Dini Karyawan Swasta
Contoh Surat Pengunduran Diri Pensiun Dini Contoh Brends
Standard Operating Procedure Usulan Pemberhentian Pensiun Pns
Grafik Badan Kepegawaian Dan Diklat Kota Batam
Contoh Surat Permohonan Pensiun Pns Tahun 2018
Standar Operasional Prosedur Pengajuan Pensiun Badan Pengelola
31 Contoh Surat Pengunduran Diri Surat Resign Kerja Dengan Alasan
Cuti Di Luar Tanggungan Negara Dan Syarat Menajukannya Wikipns
17 Contoh Surat Rekomendasi Baik Benar Dan Yang Disarankan
Contoh Surat Lamaran Dan Pernyataan Badan Kepegawaian Dan
Pensiun Pegawai Dan Pensiun Janda Duda Pegawai Ppt Download
Petunjuk Teknis Pensiun Pns Disdikkepeglmg
Doc 6 Surat Pernyataan Bukan Pensiunan Bumn Docx Mukhlisuddin
Surat Edaran Perihal Usul Pemberhentian Pns Dengan Hak Pensiun
Implementasi Peraturan Perkawinan Dan Perceraian Pns Dan Pejabat
Contoh Surat Kuasa Pengambilan Uang Di Bank 2019 Contohsuratmu
3 Jenis Surat Sponsor Untuk Aplikasi Visa Dan Contohnya Skyscanner
4 Contoh Surat Peringatan Karyawan Beserta Kasusnya Karyaone
Contoh Surat Perubahan Stempel Sekolah Predator Dapodik
Syarat Mengurus Pensiun Asuransi Uang Duka Wafat Tunjangan
Surat Edaran Kepala Bkn Tentang Batas Usia Pensiun
15 Contoh Surat Pengunduran Diri Atau Resign Format Cara Membuat
31 Contoh Surat Pengunduran Diri Surat Resign Kerja Dengan Alasan
Memutuskan Pensiun Dini Jadi Pns Siapa Takut Tirto Id
Surat Keterangan Penghentian Pembayaran Skpp Kppn Lhokseumawe
Surat Edaran Badan Kepegawaian Dan Diklat Kota Batam
17 Contoh Surat Keterangan Biasa Dinas Kerja Kuliah Kpr
Cuti Di Luar Tanggungan Negara Dan Syarat Menajukannya Wikipns
3 Jenis Surat Sponsor Untuk Aplikasi Visa Dan Contohnya Skyscanner
15 Contoh Surat Keterangan Kerja Lengkap Sesuai Eyd Doc
Contoh Surat Pernyataan Pensiun Atas Permintaan Sendiri Badan
Kementerian Riset Teknologi Dan Pendidikan Tinggi
Surat Permohonan Mutasi Anton Suhariyanto Academia Edu
Syarat Pengajuan Pensiun Dini Pns Yang Wajib Anda Ketahui Pns Dan Guru
12 Contoh Surat Kuasa Pengambilan Umum Khusus Beserta Pengertian
Contoh Surat Pernyataan Tidak Pernah Dijatuhi Hukuman Disiplin Pns
Sop Pengusulan Pensiun Bup Bkpsdmd Kota Makassar





